Self-love takes the driver’s seat this February as Honda Cars Philippines, Inc. (HCPI) extends its “Your Best Year Starts Here” campaign. Recognizing that a great year begins with the right mindset and the right vehicle, HCPI invites customers to discover exclusive offers from February 11 to 28, 2026. Whether for solo adventures or cherished moments with family or friends, HCPI’s latest promotions make it easier than ever to own the drive of one’s dreams.
February 2026 Sales Promotions
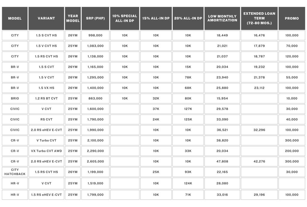
Leading the lineup of exciting offers is one of the country’s most beloved sedans. For those looking for a fuel-efficient yet sporty sedan daily driver, the City 1.5 S CVT Honda SENSING (26YM) stands as the perfect choice. This variant is currently available with a significant PHP 100,000 discount off its SRP. Alternatively, customers can take advantage of a PHP 10,000 all-in downpayment (based on a 20% financing option), making high-quality, safe, and reliable mobility more attainable than ever.
For those whose lifestyle calls for the versatility of a 7-seater SUV, the BR-V 1.5 S CVT (26YM) would be a standout choice. Perfect for family outings or weekend getaways, this model is currently offered with a PHP100,000 cash discount. HCPI also provides a flexible path to ownership with a PHP10,000 all-in downpayment (based on 15% financing option), ensuring that comfort and space are well within reach for Filipino families.
On top of these special promos for the BR-V, customers can enjoy Free 1-Year Periodic Maintenance Service (PMS) or additional PHP15,000 cash discount, depending on the BR-V unit purchased:

Meanwhile, customers who value sophisticated style, comfort and convenience in their daily drive can relish the experience of the HR-V 1.5 RS e:HEV E-CVT (25YM). Retailing for PHP 1,799,000, this advanced hybrid model is available with a PHP 100,000 discount throughout the month. It serves as an ideal reward for those looking to combine premium aesthetics with the efficiency of Honda’s e:HEV technology.
Beyond these highlights, Honda’s commitment to providing the right vehicle for every journey extends across its entire lineup. Other powerful and dependable models such as the Honda CR-V (25YM), Civic (25YM), and City Hatchback (26YM), are also available with hefty special offers and flexible financing terms this month:

Drive Today, Pay Later Promo
Continuously offering flexible ways to own a Honda, HCPI extends its Drive Today, Pay Later until March 31, 2026. This promotion allows customers to avail up to two (2) months of free amortization through participating bank partners – BPI and RCBC. This offer is inclusive of the all-in package* and applicable only through 15% or 20% all-in low cash-out financing scheme of over five (5) years or sixty (60) months.

Don’t miss the chance to start your best year yet with a drive you’ll love. Interested customers are invited to visit the nearest dealership at https://www.hondaphil.com/dealer-finder or use the Virtual Showroom https://www.hondaphil.com/virtual-honda to view the latest Honda models. Learn more about these limited-time February offers. For more information and full mechanics about HCPI’s offers for the month, visit https://www.hondaphil.com/promos.